LOGISTEED Holdings, Ltd.

Environmental Action Plan

Environment Materiality (Material Issues) for our group

Contribute to decarbonized society

Contribute to recycling-oriented society

Environmental Policy

The Group is promoting "business activities with less environmental load" based on the following four policies.

1. Reduce Environmental Load Generated at All Our Places of Business

Reduce consumption of electricity, fuel, and packaging materials as well as recycling of waste, etc.

2. Provide Logistics/Services with Less Environmental Load

Contribute to customers through CO2 emission reduction and resource recycling.

3. Improve Eco-Mind Level and Enhance Eco-Management System

Increase global environmental awareness. Observe environmental laws/ordinances and company regulations.

4. Promote Symbiosis with Nature and Environmental Communications

Preserve biodiversity and ecosystem. Maintain environmental collaboration with customers and local communities.

As for measures against global warming, we are working to enhance Green Logistics* including collaborative logistics and modal shift together with our partner companies.

  • 1.
    Promoting collaborative logistics
  • 2.
    Expanding Modal Shift in transportation
  • 3.
    Making the shift to eco-friendly vehicles and eco-friendly driving
  • 4.
    Building environmentally-friendly distribution centers
  • 5.
    Promotion of resource recycling

*Green Logistics: refers to environmentally conscious logistics initiatives which contribute to the prevention of global warming. It is one part of our smart logistics service, a business concept of our group. The main environmental measures being promoted are outlined below.

Medium-to-Long-term Environmental Targets (CO2 Emission Reduction Targets)

The Group developed the medium-to-long-term environmental targets 2030/2050 in FY2020 to contribute to the realization of sustainable society, and are striving to reduce CO2 emissions. Amid the accelerating movements to realize a decarbonized society around the world, the Group updated the medium-to-long term environmental targets 2030/2050 developed in FY2020 with more aggressive targets in FY2021. We have launched a decarbonization promotion project to achieve the medium-to long-term environmental targets and is working proactively on initiatives in five areas (1.Energy saving, 2.Electrification, 3.Procure renewable energy, 4.Energy creation, 5.Emissions trading). We also set ICP (Internal carbon pricing) in investment decisions and study how to operate it in order to accelerate decarbonization initiatives.

Medium-to-long-term environmental targets

Five areas in decarbonization promotion project

five initiatives in decarbonization promotion project

Please refer to "Integrated Report 2025" for details of the medium-to-long-term environmental targets.

Integrated Report 2025"Medium-to-Long-term Environmental Targets 2030/2050" (PDF format,280kBytes) open the pdf file

Consideration the use of internal carbon pricing (ICP)

Consideration the use of internal carbon pricing (ICP)(Improve Eco-Mind Level and Enhance Eco-Management System)

Climate Change Initiatives - Response to the Task Force on Climate-related Financial Disclosures (TCFD) -

As our group's corporate philosophy is "to deliver high-quality services that will help make the world a better place for people and nature for generations to come," we position climate change response as one of our highest priority management themes and identifies "Contribute to decarbonized society" as one of the material issues.

We also defined "Contribute to decarbonized/recycling oriented society" as one of the business objectives to promote initiatives to address climate-related risks and opportunities and reduce CO2 emissions. In addition, we announced our endorsement of the TCFD recommendations in September 2021, and in FY2024, we have refined our scenario analysis (risk, opportunities, and response measures).

Support for Task Force on Climate-related Financial Disclosures (TCFD) Recommendations (September 14, 2021)

Please refer to "Integrated Report 2025" for details of Climate Change Initiatives.

Integrated Report 2025 "Climate Change Initiatives - Response to Task Force on Climate-related Financial Disclosures (TCFD) -" (PDF format, 114kBytes) open the pdf file

Action Plan and Targets

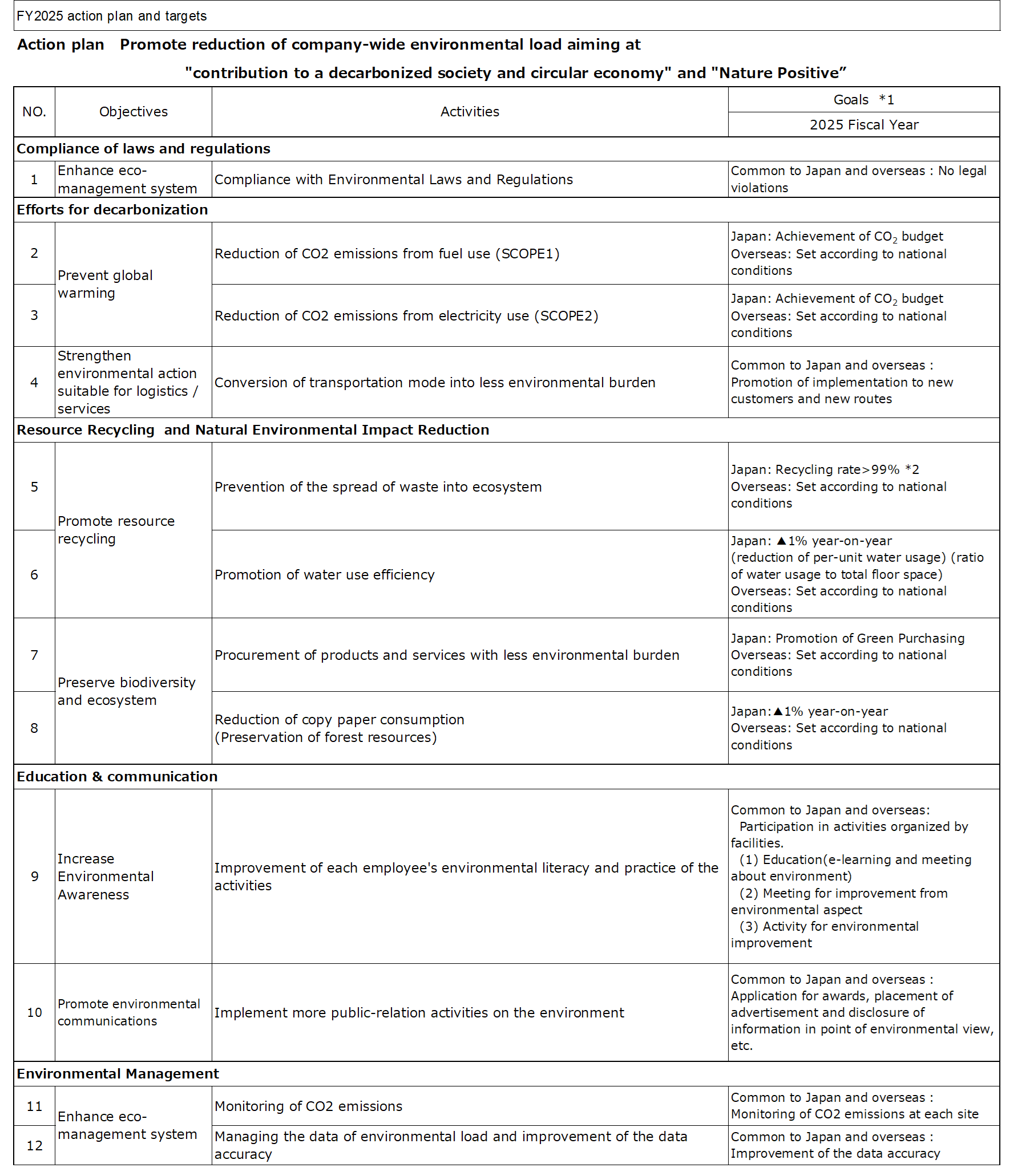
FY2025 action plan and targets

Action plan & goals: Accelerate group-wide environmental impact reduction activities to decarbonize and reduce the burden on the natural environment.

Scope: The Company, domestic/overseas companies

FY2025 action plan and targets (PDF format, 217kBytes) open the pdf file

Environment Activities Plan
  • *1Goals are domestic consolidated basis for our group
  • *2Recycling rate = (Reuse Amount + Recycling Amount + Heat Recovery Amount) / Total Emissions

Environmental Activities Report

FY2024 environmental activities report

FY2024 environmental activities report (PDF format, 219kBytes) open the pdf file

Environmental Activities Report
  • *1Recycling Rate = (Reuse Amount + Recycling Amount + Heat Recovery Amount) / Total Emissions
  • *2Based on the Act on Promotion of Plastic Resource Recycling Promotion, we will disclose the amount of plastic waste generated, the amount of recycling, etc.
  • *3Green purchasing rate: the ratio of office supplies purchased at the e-sourcing MALL (an electronic purchasing system) that are environmentally-friendly products.
  • *4
    Awards from groups outside the company
    • 1.
      The Japan Packaging Contest 2024 (Logistics Award and Transport Packaging Award)
    • 2.
      The 25th Logistics Environment Awards (Special Award)

Calculation of CO2 Emissions throughout the Supply Chain

We started to calculate "Scope 3" from FY2017 to identify and reduce CO2 emissions from the entire supply chain.

CO2 emissions throughout the supply chain

Back Number of Environmental Activities Report

Environmental Data

The following is the data including CO2 emissions and total energy input and so on.

ESG Data

  1. Site Top
  2. Sustainability
  3. Environment
  4. Environmental Action Plan